1 電路原理分析
圖1為電路簡圖。電路采取單級反激式拓撲,由全波整流,DC/DC變換,輸出整流濾波電路,誤差反饋電路,PWM控制器電路構成。

FAN7527B是飛兆半導體公司推出的有源功率因數校正控制芯片。該芯片內部乘法器電路的優異性能,可以用于寬交流市電輸入電壓范圍的應用場合(85~265VAC)。并使所構成電路的THD值很小,從而獲得良好的有源功率因數校正控制功能。它的啟動工作電流只有幾十微安,利用它的零電流檢測FAN7527B的5腳可以實現電路的關斷控制功能。
電路的輸入電容的容量很小(即交流輸入市電整流輸出濾波電容容量很小),因此APFC電路的輸入電壓最大值很接近于交流輸入市電電壓整流后輸出電壓的峰值。該電路的主要優點是它的高功率因數(一般大于0.92),可以很好地滿足有關EMC和THD的技術要求,特別是在寬交流市電輸入電壓范圍的應用場合更是如此。在輸出重負載的應用場合,該電路可以得到較高的工作效率,一般工作效率接近90%,工作于電流臨界導通工作模式可以使APFC功率開關管MOSFET的導通損耗比較小,有利于減少散熱器的體積。
圖中C1上的電壓為經過橋式整流后的電壓,Rs1采樣流過MOS管的電流,進行逐周期限電流控制,使MOS管的電流峰值不至于太大,確保負載短路時變壓器不發生磁飽和。利用輔助繞組完成變壓器一次繞組的電流過零檢測(APFC變壓器去磁),控制功率開關管Q2重新開始下一個開關導通工作周期的工作,FAN7527B的Idet引腳外接的電阻R4阻值在幾十千歐的范圍內,使電路工作于“準零電壓導通”的工作方式。R4電阻值取值和變壓器的一次繞組的電感量和功率開關管MOSFET的輸出電容有關,具體電阻值可以通過實驗來確定,本電路中取值為33K。Rs2采樣負載LED電流信號,R7、R8構成分壓網絡對LED上的電壓進行采樣。Rs2采樣LED上的電流與TM101上的基準信號CVin進行比較,經誤差經放大器對輸出進行恒流控制,LED凈化燈的亮度和流過LED的電流大小基本成正比的,只要控制流過LED的電流大小就可以調節LED的亮度。R7、R8采樣LED上的電壓與TM101上的基準信號CVin進行比較,經誤差放大器對輸出電壓控制,送入TM101的這兩路信號相“與”后通過光耦送入控制芯片FAN75 27B的誤差放大器進入乘法器。乘法器另一路是通過R13、R19、R23和R27采樣經全波整流后的市電信號,這兩路信號的乘積就是乘法器輸出,該輸出信號使得電感電流跟蹤乘法器的輸出波形信號,產生的PWM脈沖控制MOS管Q1的開關,實現對負載電流和輸入電流的控制,完成LED實現對LED的恒流限壓控制和輸入功率因數的校正。
2 變壓器參數計算
變壓器是電源的核心器件之一,變壓器性能的好壞不僅影響變壓器自身發熱和效率,而且還會影響到開關電源的技術性能和可靠性,所以在設計制作時,對磁芯材料的選擇,磁芯與線圈的結構,繞制工藝等都要周密考慮?! ?/span>
設計參數:①fs=80-120kHz,Bs=0.2T,D=0.45;②AP=Ae×Aw=1.82cm4;③輸入輸出電壓:Vin=176~264VAC;Vout=176~264VAC;=36V;④輸出電流:Io=3.8A,⑥電路形式:反激式,變壓器選用PC40 PQ32/25磁芯。
(1)變壓器的參數計算
變壓器的設計輸出能力

其中,電流密度δ=300A/cm2,輸出功率PT=136W,窗口占空系數Kw=0.4?! ?/span>
變壓器的實際輸出能力AP=Ae×Aw=0.55cm4,磁芯滿足設計要求?! ?/span>
(2)計算初、次級的峰值電流

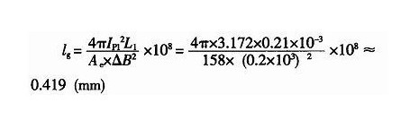
(3)計算初級電感量及氣隙長度
初級電感量
氣隙長度(mm)

其中△B為磁通密度的變化量,△B=0.805BS+125GS=1730GS-0.173T,其中單位為mT?!?/span>