3. 1 大功率白光LED凈化燈 與高效均流并聯供電系統的集成
為測試所制作的雙DC /DC 并聯供電系統的性能,采用3 W 大功率白光LED( 額定電流750 mA、額定電壓4. 0 V) 做了驅動實驗與性能測試,LED 的照片如圖4 所示。將大功率白光并聯供電系統、大功率白光LED、數據編碼模塊、Bias-Tee 耦合模塊以及按鍵/指示燈等進行了系統集成,研制了兼具照明與通信雙重功能的通信裝置( 見圖4b) .利用該裝置,對給出的并聯供電系統進行了實驗。

3. 2 照明狀態時的均流特性實驗
通過按鍵分別設定驅動器輸出電壓為0. 5 V、1. 0 V 和3. 0 V,接上白光LED,分別讀取兩個DC /DC支路的工作電流I1和I2、LED 兩端的工作電壓U0以及流經LED 的工作電流I0,其測試結果如表1 所示。
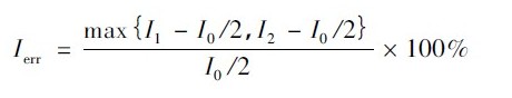
定義輸出電壓誤差

其中U0,exp為實驗測得的輸出電壓,U0,the為理論設定的輸出電壓。定義兩支路電流偏差


由表1 可見,測得的實際電壓與設定值相比,3 次測量的誤差小于2%,兩支路電流的偏差小于1%,實現了很好的穩壓與均流效果。
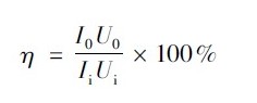
3. 3 照明狀態時的電源效率實驗
定義供電電源的效率為

其中Ii和Ui分別該系統的輸入電壓和輸入電流。在表1 所示的3 種驅動情況下,分別測量了電路輸入電壓,輸入電流,輸出電壓和輸出電流,進而計算出供電效率,其結果如表2 所示。當電源輸出電壓較小時,電源的效率較小,當輸出電壓增大時,電源效率增大,可達80%以上。

3. 4 可見光通信狀態時輸出電壓的線性區測試
當白光LED 處于通信模式時,為保證通信質量,需要提供穩定、線性的驅動電壓。為驗證該供電系統的線性特性,將其用來驅動白光LED,同時使用可見光PIN 探測器測試了探測器的響應。實驗測得的PIN 探測器輸出電壓隨白光LED 驅動電壓的關系如圖5 所示??梢钥闯觯旘寗与妷盒∮?. 6 V 時,白光LED凈化燈 進入非線性工作區。因此,當將該供電電源驅動白光LED凈化燈 進行可見光通信時,應使其輸出電壓( 亦即Bias-Tee 的直流輸入電壓) 調整至線性區中間點( 亦稱為線性工作點) ,約為2.7 V.

3. 5 動態響應測試
當使用該雙DC /DC 并聯供電電源驅動白光LED凈化燈時,筆者研究了當電源上電和關電時,LED 兩端電壓的瞬時變化特性,測量結果如圖6 所示??梢钥吹剑捎贒C /DC 電源輸出端電容的儲能作用,輸出電壓在上電和關電時并不存在尖峰和毛刺現象,因此,不會損壞LED.另外,從響應曲線可以看出,當電壓從0 上升至穩定的1.6 V 時,上升時間約為20 s,關電降至0 的下降時間約為65 s.